Abstract
Introduction: T-cell lymphomas are a relatively rare and heterogeneous group of lymphoid neoplasms. Its incidence relies on viral infections incidence as Human T-cell lymphotropic virus type I-II (HTLV-I/II) and Ebstein Bar virus (EBV). Specifically, these viruses have a significantly higher incidence in Latin-American populations. Our objective was to calculate the incidence and survival of T-cell lymphomas in the largest Peruvian population based on a national registry. Methods: We conducted a multicenter, retrospective registry study of non-Hodgkin T cell lymphoma. The data was extracted from Instituto Nacional de Enfermedades Neoplasicas and Oncosalud-AUNA, Lima-Peru, from January 2010 to December 2019, a total of 948 patients who were diagnosed as mature T cell non-Hodgkin lymphoma based on the World Health Organization Classification 2008 were enrolled. T-lymphoblastic lymphoma/leukemia was excluded. Overall survival was calculated based on death dates from the Peruvian national identification registry (RENIEC).
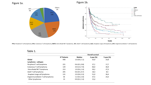
Results: The median age was 51 years (range, 1-94), and male and female patients were 512 (54%) and 436 (46%). Among the 948 patients enrolled, Peripheral T-cell lymphoma was the common neoplasm accounting for 23% (n=221), and Extra-Nodal NK T-lymphoma (22%, n=213), Adult T-cell lymphoma (22%, n=205), Anaplasic Large cell lymphoma (14%, n=131), Cutaneous T-cell lymphoma (14%, n=129) (Figure 1a). At the time of diagnosis, extranodal disease was found in 68.6% (650) of patients. By July 2021, only 15.3% of cases were in remission and 37% (350) were alive. Median global overall survival of T-cell lymphomas was 1 year (0.8-1.1), Cutaneous T-cell lymphoma had the highest survival and Adult T-cell lymphoma had the lowest survival (Table 1 and Figure 1b).
Conclusion: This initial report shows a relatively high frequency of mature T-cell lymphomas in Latin-America real-world setting, and confirms that T-cell lymphomas patients had a dismal outcome. The clinical outcome for patients with T-cell lymphomas subtypes is poor with standard therapies, and novel agents and new modalities are needed to improve survival.
No relevant conflicts of interest to declare.
